1 认识RNN模型
学习目标¶
- 了解什么是RNN模型.
- 了解RNN模型的作用.
- 了解RNN模型的分类.
1 什么是RNN模型¶
-
RNN(Recurrent Neural Network), 中文称作循环神经网络, 它一般以序列数据为输入, 通过网络内部的结构设计有效捕捉序列之间的关系特征, 一般也是以序列形式进行输出.
-
一般单层神经网络结构:

- RNN单层网络结构:

- 以时间步对RNN进行展开后的单层网络结构:

- RNN的循环机制使模型隐层上一时间步产生的结果, 能够作为当下时间步输入的一部分(当下时间步的输入除了正常的输入外还包括上一步的隐层输出)对当下时间步的输出产生影响.
2 RNN模型的作用¶
-
因为RNN结构能够很好利用序列之间的关系, 因此针对自然界具有连续性的输入序列, 如人类的语言, 语音等进行很好的处理, 广泛应用于NLP领域的各项任务, 如文本分类, 情感分析, 意图识别, 机器翻译等.
-
下面我们将以一个用户意图识别的例子进行简单的分析:

- 第一步: 用户输入了"What time is it ?", 我们首先需要对它进行基本的分词, 因为RNN是按照顺序工作的, 每次只接收一个单词进行处理.

- 第二步: 首先将单词"What"输送给RNN, 它将产生一个输出O1.

- 第三步: 继续将单词"time"输送给RNN, 但此时RNN不仅仅利用"time"来产生输出O2, 还会使用来自上一层隐层输出O1作为输入信息.

- 第四步: 重复这样的步骤, 直到处理完所有的单词.

- 第五步: 最后,将最终的隐层输出O5进行处理来解析用户意图.

3 RNN模型的分类¶
-
这里我们将从两个角度对RNN模型进行分类. 第一个角度是输入和输出的结构, 第二个角度是RNN的内部构造.
-
按照输入和输出的结构进行分类:
- N vs N - RNN
- N vs 1 - RNN
- 1 vs N - RNN
- N vs M - RNN
-
按照RNN的内部构造进行分类:
- 传统RNN
- LSTM
- Bi-LSTM
- GRU
- Bi-GRU
-
N vs N - RNN:
- 它是RNN最基础的结构形式, 最大的特点就是: 输入和输出序列是等长的. 由于这个限制的存在, 使其适用范围比较小, 可用于生成等长度的合辙诗句.

- N vs 1 - RNN:
- 有时候我们要处理的问题输入是一个序列,而要求输出是一个单独的值而不是序列,应该怎样建模呢?我们只要在最后一个隐层输出h上进行线性变换就可以了,大部分情况下,为了更好的明确结果, 还要使用sigmoid或者softmax进行处理. 这种结构经常被应用在文本分类问题上.

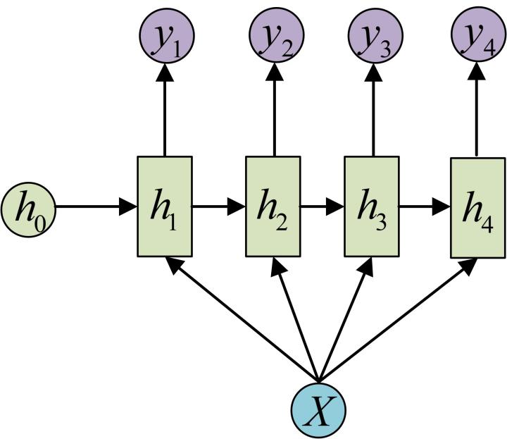
- 1 vs N - RNN:
- 如果输入不是序列而输出为序列的情况怎么处理呢?我们最常采用的一种方式就是使该输入作用于每次的输出之上. 这种结构可用于将图片生成文字任务等.

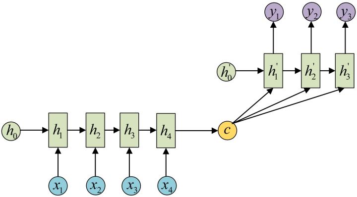
- N vs M - RNN:
- 这是一种不限输入输出长度的RNN结构, 它由编码器和解码器两部分组成, 两者的内部结构都是某类RNN, 它也被称为seq2seq架构. 输入数据首先通过编码器, 最终输出一个隐含变量c, 之后最常用的做法是使用这个隐含变量c作用在解码器进行解码的每一步上, 以保证输入信息被有效利用.

-
seq2seq架构最早被提出应用于机器翻译, 因为其输入输出不受限制,如今也是应用最广的RNN模型结构. 在机器翻译, 阅读理解, 文本摘要等众多领域都进行了非常多的应用实践.
-
关于RNN的内部构造进行分类的内容我们将在后面使用单独的小节详细讲解.
4 小结¶
-
学习了什么是RNN模型:
- RNN(Recurrent Neural Network), 中文称作循环神经网络, 它一般以序列数据为输入, 通过网络内部的结构设计有效捕捉序列之间的关系特征, 一般也是以序列形式进行输出.
-
RNN的循环机制使模型隐层上一时间步产生的结果, 能够作为当下时间步输入的一部分(当下时间步的输入除了正常的输入外还包括上一步的隐层输出)对当下时间步的输出产生影响.
-
学习了RNN模型的作用:
- 因为RNN结构能够很好利用序列之间的关系, 因此针对自然界具有连续性的输入序列, 如人类的语言, 语音等进行很好的处理, 广泛应用于NLP领域的各项任务, 如文本分类, 情感分析, 意图识别, 机器翻译等.
-
以一个用户意图识别的例子对RNN的运行过程进行简单的分析:
- 第一步: 用户输入了"What time is it ?", 我们首先需要对它进行基本的分词, 因为RNN是按照顺序工作的, 每次只接收一个单词进行处理.
- 第二步: 首先将单词"What"输送给RNN, 它将产生一个输出O1.
- 第三步: 继续将单词"time"输送给RNN, 但此时RNN不仅仅利用"time"来产生输出O2, 还会使用来自上一层隐层输出O1作为输入信息.
- 第四步: 重复这样的步骤, 直到处理完所有的单词.
- 第五步: 最后,将最终的隐层输出O5进行处理来解析用户意图.
-
学习了RNN模型的分类:
- 这里我们将从两个角度对RNN模型进行分类. 第一个角度是输入和输出的结构, 第二个角度是RNN的内部构造.
-
按照输入和输出的结构进行分类:
- N vs N - RNN
- N vs 1 - RNN
- 1 vs N - RNN
- N vs M - RNN
-
N vs N - RNN:
- 它是RNN最基础的结构形式, 最大的特点就是: 输入和输出序列是等长的. 由于这个限制的存在, 使其适用范围比较小, 可用于生成等长度的合辙诗句.
-
N vs 1 - RNN:
- 有时候我们要处理的问题输入是一个序列,而要求输出是一个单独的值而不是序列,应该怎样建模呢?我们只要在最后一个隐层输出h上进行线性变换就可以了,大部分情况下,为了更好的明确结果, 还要使用sigmoid或者softmax进行处理. 这种结构经常被应用在文本分类问题上.
-
1 vs N - RNN:
- 如果输入不是序列而输出为序列的情况怎么处理呢?我们最常采用的一种方式就是使该输入作用于每次的输出之上. 这种结构可用于将图片生成文字任务等.
-
N vs M - RNN:
- 这是一种不限输入输出长度的RNN结构, 它由编码器和解码器两部分组成, 两者的内部结构都是某类RNN, 它也被称为seq2seq架构. 输入数据首先通过编码器, 最终输出一个隐含变量c, 之后最常用的做法是使用这个隐含变量c作用在解码器进行解码的每一步上, 以保证输入信息被有效利用.
- seq2seq架构最早被提出应用于机器翻译, 因为其输入输出不受限制,如今也是应用最广的RNN模型结构. 在机器翻译, 阅读理解, 文本摘要等众多领域都进行了非常多的应用实践.
-
按照RNN的内部构造进行分类:
- 传统RNN
- LSTM
- Bi-LSTM
- GRU
- Bi-GRU
-
关于RNN的内部构造进行分类的内容我们将在后面使用单独的小节详细讲解.